Kepentingan Untung Kepada Perniagaan





Nota Perniagaan

Nota Perniagaan

Soalan Dan Contoh Jawapan Bab 1 Bab Dan

Soalan Dan Contoh Jawapan Bab 1 Bab Dan

Bab 1 Perniagaan Dan Persekitarannya Ppt Download

Bab 1 Perniagaan Dan Persekitarannya Ppt Download

Pengenalan Kepada Perniagaan Dan Keusahawanan

Pengenalan Kepada Perniagaan Dan Keusahawanan

Soalan Dan Contoh Jawapan Bab 1 Bab Dan

Soalan Dan Contoh Jawapan Bab 1 Bab Dan

Cikgu Karthik S Blog Pengajian Perniagaan Penggal 1 Perniagaan Dan Persekitaran Bahagian 1 Nota Dan Praktis

Cikgu Karthik S Blog Pengajian Perniagaan Penggal 1 Perniagaan Dan Persekitaran Bahagian 1 Nota Dan Praktis

Cikgu Karthik S Blog Pengajian Perniagaan Penggal 1 Perniagaan Dan Persekitaran Bahagian 1 Nota Dan Praktis

Nota Perniagaan Tingkatan 4 Pages 51 97 Text Version Anyflip

Nota Perniagaan Tingkatan 4 Pages 51 97 Text Version Anyflip

Rancangan Perniagaan

Rancangan Perniagaan

Laman Pengajian Perniagaan Stpm Cikgu Azly May 2012

Laman Pengajian Perniagaan Stpm Cikgu Azly May 2012

Pengajian Perniagaan Stpm Baharu Penggal 1

Pengajian Perniagaan Stpm Baharu Penggal 1

Jenis Jenis Perniagaan

Jenis Jenis Perniagaan

Pengajian Perniagaan Stpm Pages 1 49 Text Version Anyflip

Pengajian Perniagaan Stpm Pages 1 49 Text Version Anyflip

Pengajian Perniagaan Kertas 1 Bab 1

Pengajian Perniagaan Kertas 1 Bab 1

Jawapan Latihan Pp1 2019

Jawapan Latihan Pp1 2019

Doc Stpm Pengajian Perniagaan Nurul Natasha Academia Edu

Doc Stpm Pengajian Perniagaan Nurul Natasha Academia Edu

Nota Bab 1 Pp Sem 1 Pages 1 16 Text Version Anyflip

Nota Bab 1 Pp Sem 1 Pages 1 16 Text Version Anyflip

Kk Pp Sem1

Kk Pp Sem1

201307011556256951 Ep Stpm P Perniagaan P1 2012

201307011556256951 Ep Stpm P Perniagaan P1 2012

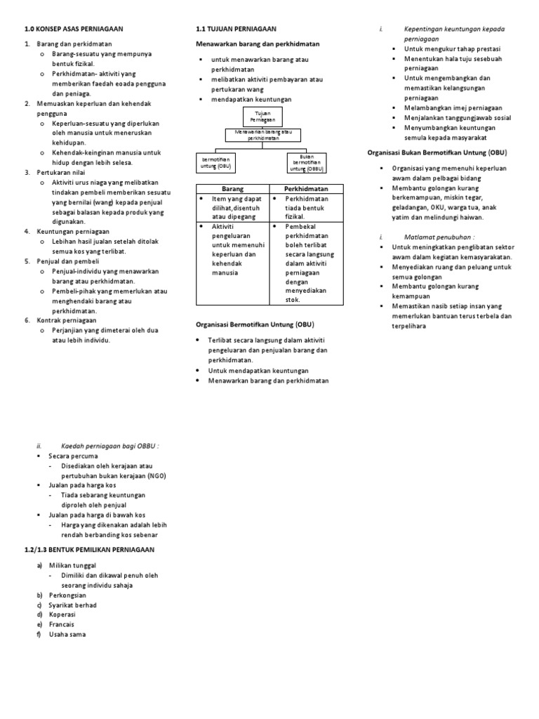
1 0 Konsep Asas Perniagaan 1 1 Tujuan Perniagaan Menawarkan Barang Dan Perkhidmatan

1 0 Konsep Asas Perniagaan 1 1 Tujuan Perniagaan Menawarkan Barang Dan Perkhidmatan

Nota Perniagaan Tingkatan 4

Nota Perniagaan Tingkatan 4

Warning: Use of undefined constant SOURCE_URL - assumed 'SOURCE_URL' (this will throw an Error in a future version of PHP) in C:\laragon\www\blog4\cache\7cbb5c9794496f2ccb8ef5317bebc027fdc031bb.php on line 103
Source : youtube.com